Würth Elektronik capacitors
Big portfolio available ex stock
Würth Elektronik capacitors
Big portfolio available ex stock
Würth Elektronik has extended its capacitor portfolio. You will find an overview of our current technologies available ex stock in the graph. More details (e.g. series, characteristics, features, applications, etc.) about each product family can be found in the flyer or for example below. In our flyer you will also find information about our services.
Supercapacitors
Supercapacitors
Supercapacitors, also known as EDLC for Electric Double Layer Capacitor, are energy storage devices that are easy to use and, in many ways, comparable to batteries. They close the gap between capacitors and batteries.Supercapacitors have:
- Higher power density than batteries
- Higher energy density than conventional capacitors
Available series
The supercapacitor – A vertile energy storage device and how to use it
The supercapacitor – A vertile energy storage device and how to use it
In the course of the presentation, important properties of Supercapacitors and key features of the design-in process will be discussed. Supercapacitors require, like any other energy storage system, a certain infrastructure in order to store and deliver their energy.

Example applications





Measurements
Redexpert
Measurements
Redexpert
With the help of REDEXPERT you will find the right capacitor based on your technical requirements. The tool supports, for example, with measured values for capacitance, impedance, ESR and dissipation factor (DF). The ability to compare individual components with each other in terms of measured values enables convenient component selection.
Webinar
Introduction to the capacitor technologies and how to use them
Webinar
Introduction to the capacitor technologies and how to use them
Capacitors make up two thirds of all electronic components and there is a huge diversity of technologies which can overwhelm young engineers. All capacitors store electrical energy in the electrical field created in a dielectric material and they are used for very diverse applications like voltage stability and filtering. How that works differs between tiny MLCCs and huge electrolytic cells, from pF ratings up to the hundreds of Farads in supercapacitors. In this presentation, we introduce different capacitor solutions taking into account the advantages and disadvantages and with a focus on the final application.

Design-in of capacitor module
The voltage of an electric double-layer capacitor (EDLC) depends on its charging state. Thus, the voltage at the terminals increases or decreases as soon as the EDLC becomes charged or discharged. To provide a stable voltage, the EDLC is often operated with a DC/DC conversion. Depending on the required power and charging voltage , it is required to design a module (see more: Constant Power Discharge Modul Calculator)
The EDLC module must provide the power required by the application. The EDLC Module Calculator calculates the size of the stack (module) based on the application parameter. Based on a given
- power demand,
- discharge time, and
- lower discharge limit,
the calculator provides the number of series and parallel connected EDLCs (defined by rated capacitance and rated Equivalent series resistance) as well as plots and other electrical parameters, such as total module capacitance and total ESR .
Application notes and documents
Videos
FAQ supercapacitors
You can find the certifications in the datasheet, page 2.
In the case of X/Y safety capacitors, certification information can be found in PDF format in the online platform REDEXPERT.
These links are shown at the right end of the table, under the column “Certificates”.
We provide the document with all the values on our homepage.
You can also download the document by searching for “FIT” or “MTBF” in our download center.
This document reveals the FIT (Failures in time) and MTBF (Mean time between failures) values that can be calculated for each series based on the electrical stress (voltage applied in the case of capacitors) and the temperature applied according to calculation models of Telcordia SR-332 Issue 3.
Please refer to the table of contents at the beginning of the document to find the values for capacitors.
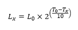
Based on the endurance data the general Arrhenius Law can be used:

Lx = estimated lifetime
L0 = specified lifetime
T0 = upper specified capacitor temperature
Tx = actual operating temperature of the capacitor cell
Supercapacitors often only have a very low rated voltage. Our supercapacitors have a rated voltage of 2.7 V. For many applications it is therefore necessary to connect the capacitors in series.
As the components are specified with a tolerance of -10% / +30%, the voltage may be distributed according to the capacitance in such a way that individual components are overloaded. Balancing is absolutely essential, especially if the bank is operated close to the nominal voltage of the components. For more information, please take a look at ANP090"Keep the Balance - Balancing for Supercapacitors"
Supercapacitors (EDLCs) are capacitors. This makes them generally easier to handle than batteries. They can be charged by any current-limiting energy source. They can be discharged to 0 V without damaging the component. Nevertheless, there are a few points to consider when designing an energy storage device with supercapacitors.
In our application note ANP077 we describe in a guide how the design process of supercapacitors can proceed and what should be taken into account.



















